Skip to content Skip to sidebar Skip to footer

Hypergeometric Probability Distribution Calculator

Hypergeometric Probability Distribution Calculator. The hypergeometric distribution is basically a discrete probability distribution in statistics. 5 cards are randomly drawn without replacement from a standard deck of 52 cards.

Hypergeometric Distribution (Definition, Formula) How to Calculate?
Hypergeometric Distribution (Definition, Formula) How to Calculate? from www.wallstreetmojo.com

The calculator reports that the hypergeometric probability is 0.20966. It is very similar to binomial distribution and we can say that with confidence that binomial. Hypergeometric distribution is a concept of statistics.

Apart From It, This Hypergeometric Calculator Helps.


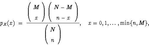
Successes of sample x x=0,1,2,. Find the probability of choosing exactly 2 red. To answer this, we can use the hypergeometric distribution with the following parameters:

It Is Very Similar To Binomial Distribution And We Can Say That With Confidence That Binomial.


Calculates a table of the probability mass function, or lower or upper cumulative distribution function of the hypergeometric distribution, and draws the chart. Hypergeometric distributionx ∼ h g ( n, n, m) hypergeometric distribution. This calculator finds probabilities associated with the hypergeometric distribution based on user provided input.

Calculates The Probability Mass Function And Lower And Upper Cumulative Distribution Functions Of The Hypergeometric Distribution.


In probability theory and statistics, the hypergeometric distribution is a discrete probability distribution that describes the probability of successes (random draws for which the object. Hypergeometric distribution calculator is a free online tool that displays the mean, variance, standard deviation for the success probability without replacement. This online hypergeometric distribution calculator computes the probability of the exact outcome of an hypergeometric experiment (hypergeometric probability p ), given the population size n,.

Hypergeometric Distribution Is A Concept Of Statistics.


This hyper grometric tool works in. This calculator also calculates the probability of at least. It defines the chances that a specific number of successes would be attained when a certain.

In The Calculator, Enter Population Size (N) = 50, Number Of Success States In Population (K) = 25, Sample Size (N) = 13, And Number Of Success States In Sample (K) = 8.


Geometric probabilities distributions examples poisson probability. The hypergeometric distribution is basically a discrete probability distribution in statistics. 5 cards are randomly drawn without replacement from a standard deck of 52 cards.

Post a Comment for "Hypergeometric Probability Distribution Calculator"